• 护理系
    学院首页设为首页加入收藏
    您现在的位置是:主页 > 机构设置 > 教学机构 > 护理系 > 新闻动态 > 通知公告 >
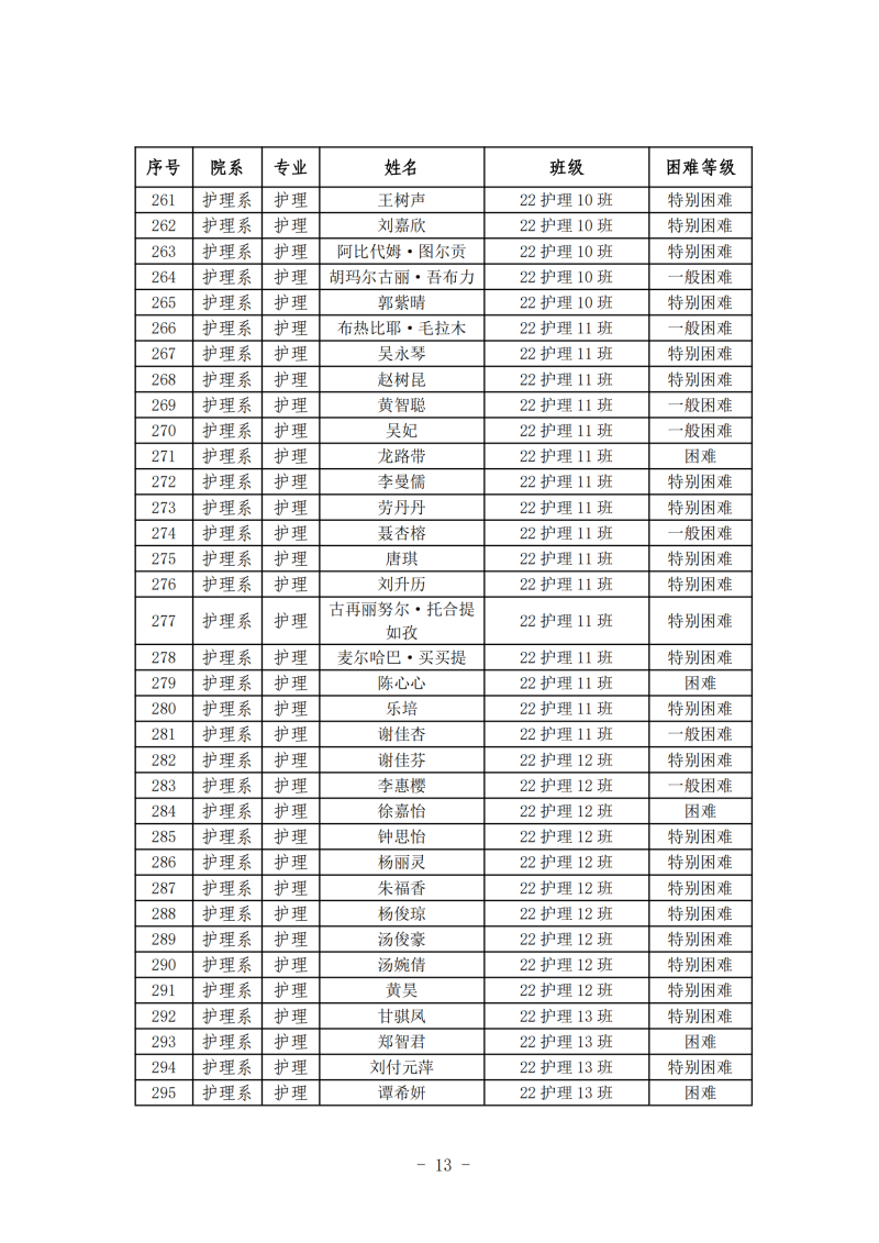
    关于护理系2024年春季学期国家助学金初审名单的公示

    护理系2024年春季学期国家助学金初审名单公示(1)_00.png护理系2024年春季学期国家助学金初审名单公示(1)_01.png护理系2024年春季学期国家助学金初审名单公示(1)_02.png护理系2024年春季学期国家助学金初审名单公示(1)_03.png护理系2024年春季学期国家助学金初审名单公示(1)_04.png护理系2024年春季学期国家助学金初审名单公示(1)_05.png护理系2024年春季学期国家助学金初审名单公示(1)_06.png护理系2024年春季学期国家助学金初审名单公示(1)_07.png护理系2024年春季学期国家助学金初审名单公示(1)_08.png护理系2024年春季学期国家助学金初审名单公示(1)_09.png护理系2024年春季学期国家助学金初审名单公示(1)_10.png护理系2024年春季学期国家助学金初审名单公示(1)_11.png护理系2024年春季学期国家助学金初审名单公示(1)_12.png护理系2024年春季学期国家助学金初审名单公示(1)_13.png护理系2024年春季学期国家助学金初审名单公示(1)_14.png护理系2024年春季学期国家助学金初审名单公示(1)_15.png护理系2024年春季学期国家助学金初审名单公示(1)_16.png护理系2024年春季学期国家助学金初审名单公示(1)_17.png护理系2024年春季学期国家助学金初审名单公示(1)_18.png

    Copyright © 2015-2023 彩神
    彩神学校地址:广东省茂名市电白区电海街道安乐东路1号
    网站备案号:粤ICP备17071133号
    技术支持:教育技术与网络中心
    招生办公室:0668-2902527
    学院党政办公室:0668-2904258
    彩神学校网址:www.cq6616.com
    彩神专业提供:彩神等服务,提供最新官网平台、地址、注册、登陆、登录、入口、全站、网站、网页、网址、娱乐、手机版、app、下载、欧洲杯、欧冠、nba、世界杯、英超等,界面美观优质完美,安全稳定,服务一流,彩神欢迎您。
    彩神